Penulis: Siti Fatimah Azzahra (2411074)

A. PENDAHULUAN
Hidrolika adalah bagian dari mekanika fluida, hidrolika mempelajari perilaku fluida, khususnya air, baik dalam keadaan diam maupun mengalir. Dalam teknik sipil, hidrolika sangat penting karena berkaitan langsung dengan perencanaan dan pengelolaan sistem air seperti saluran irigasi, drainase, sungai, dan bendungan.
Penerapan hidrolika dapat ditemukan dalam kehidupan sehari-hari pada berbagai infrastruktur yang mendukung kebutuhan manusia. Sistem drainase perkotaan, misalnya, mengalir air hujan untuk mencegah banjir dan saluran irigasi, misalnya, mengalir air ke lahan pertanian. Akibatnya, memahami konsep dasar hidrolika sangat penting bagi mahasiswa teknik, khususnya dalam merancang sistem yang aman dan efisien.
Artikel ini akan membahas konsep dasar hidrolika, metrik aliran fluida yang penting, dan aplikasinya dalam teknik sipil.
B. Konsep Dasar Hidrolika
Konsep dasar hidrolika mencakup bagaimana air mengalir dan hubungan antara besaran yang memengaruhi aliran tersebut. Dalam analisis hidrolika, air dianggap sebagai fluida dan dipengaruhi oleh hukum fisika, terutama hukum kekekalan massa.
1. Sifat Fluida
Fluida adalah zat yang tidak memiliki bentuk tetap dan selalu mengikuti bentuk wadahnya. Fluida juga sulit dimampatkan dan memiliki kemampuan untuk meneruskan tekanan ke segala arah.
2. Jenis – Jenis Aliran
Aliran fluida dalam hidrolika dapat dibedakan berdasarkan kondisi dan sifatnya. Tujuan dari bagian ini adalah untuk membuat analisis perilaku air dalam saluran atau sistem aliran lebih mudah.
a. Aliran Saluran Terbuka

Aliran saluran terbuka memiliki permukaan bebas yang langsung berhubungan dengan udara. Gaya gravitasi adalah penggerak utama aliran ini. Contohnya:Sungai, saluran air, dan drainase
Bentuk saluran dan kedalaman air sangat memengaruhi kecepatan aliran jenis aliran ini.
b. Aliran Saluran Tertutup

Aliran saluran tertutup terjadi dalam pipa yang penuh dengan air dan tidak memiliki permukaan bebas. Ciri-ciri: Tekanan mempengaruhi aliran; tidak bersentuhan langsung dengan udara; digunakan dalam sistem distribusi air.
3. Parameter Hidrolika
Analisis hidrolika menggunakan sejumlah parameter utama untuk menunjukkan karakteristik aliran fluida. Parameter-parameter ini saling berkaitan dan sangat penting untuk perhitungan dan perencanaan sistem aliran air.
a. Debit Aliran ( Q )
Debit Aliran merupakan Jumlah air yang mengalir melalui suatu penampang dalam satuan waktu disebut debit aliran. Ini sangat penting untuk perencanaan hidrolika karena menunjukkan kapasitas aliran sistem: semakin besar debit, semakin banyak air yang mengalir dalam saluran.
b. Kecepatan Aliran ( V )
Kecepatan Aliran merupakan laju pergerakan air dalam suatu saluran disebut kecepatan aliran. Nilai kecepatan ini biasanya tidak seragam di seluruh penampang karena gesekan air dengan dinding dan dasar saluran.Perhitungan hidrolika dipermudah dengan penggunaan kecepatan rata-rata.
c. Luas Penampang ( A )
Luas penampang, yang bervariasi tergantung pada bentuk dan ukuran saluran, adalah area yang dilalui oleh aliran air. Semakin besar luas penampang, semakin banyak air yang dapat dialirkan.
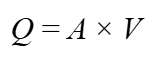
d. Hubungan Antar Parameter
Persamaan berikut menunjukkan hubungan antara debit, luas penampang, dan kecepatan:

Dalam analisis hidrolika, ketiga parameter tersebut saling berhubungan karena persamaan ini menunjukkan bahwa debit aliran adalah hasil kali antara luas penampang dan kecepatan aliran.
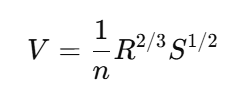
4. Rumus – Rumus Hidrolika
Beberapa rumus digunakan untuk menghitung sifat aliran air dalam saluran hidrolika.
1. Jari-jari hidrolik

2. Rumus Manning

3. Debit Aliran

Keterangan:
- Q = debit aliran
- V = kecepatan
- A= luas penampang
- R= jari-jari hidrolik
- S = kemiringan saluran
- n = koefisien kekasaran
C. KESIMPULAN
Cabang mekanika fluida yang disebut hidrolika mempelajari perilaku fluida, khususnya air, baik dalam kondisi diam maupun mengalir. Dalam teknik sipil, hidrolika sangat penting untuk perencanaan berbagai sistem keairan seperti irigasi, drainase, sungai, dan bendungan.
Sifat fluida, jenis aliran, dan parameter penting seperti debit, kecepatan, dan luas penampang adalah konsep dasar hidrolika. Semua parameter ini saling berhubungan dalam persamaan Q=A×V, yang menjadi dasar analisis aliran air. Selain itu, rumus hidrolika seperti jari-jari hidrolik dan persamaan Manning membantu menentukan karakteristik aliran secara lebih akurat.
Dengan memahami konsep dan perhitungan dasar hidrolika, perencanaan sistem air dapat dilakukan secara lebih efisien, efisien, dan aman sesuai dengan kebutuhan lapangan.
Editor: Hadijah Aulia Putri (2411075)


