Penulis: Mulana Bin Zulfendri (2511065)
Kalkulus lanjut merupakan cabang matematika yang mempelajari konsep yang lebih kompleks dibandingkan kalkulus dasar, seperti fungsi multivariabel, turunan parsial, integral lipat, serta anlisis vector. Menurut saya ilmu kalkulus lanjut ini sangat penting karena digunakan untuk menganalisis berbagai fenomena yang melibatkan lebih dari satu variabel. Dalam dunia teknik dan sains, kalkulus lanjut menjadi alat utama untuk memecahkan masalah yang kompleks dan realistis.

Gambar 1 Ilustrasi konsep kalkulus lanjut meliputi fungsi multivariabel, integral lipat, deret Taylor, dan analisis vektor.
Salah satu konsep utama dalam kalkulus lanjut adalah fungsi multivariabel. Fungsi imi memiliki lebih dari satu variable bebas, misalnya fungsi yang bergantung pada variable x dan y. bentuk umum fungsi tersebut dapat dituliskan sebagai berikut:
z= f(x,y)
Persamaan di atsas menunjukan bahwa nilai z dipengaruhi oleh dua variabel, yaitu c dan y. Dalam kehidupan nyata, fungsi sepeti ini dapat digunakan untuk menggambarkan permukaan, seperti ketinggian suatu daerah atau dsitribusi suhu dalam suatu ruangan. Untuk kita menganalisis perubahan pada fungsi ini digunakan untuk turunan parsial, yaitu turunan terhadap satu variabel dengan menggagap variabel lainnya tetap.
![]()
Integral tersebut digunakan untuk menghitung luas atau volume pada suatu daerah R. Dalam bidang teknik sipil, konsep ini sering digunakan untuk menghitung volume tanah, beton, atau material lain yang bentuknya tidak sederhana.
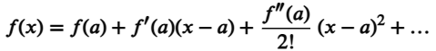
Konsep lain yang penting adalah deret Taylor, yaitu deret tak hingga yang digunakan untuk mendekati suatu fungsi menjadi bentuk polinomial. Bentuk umum deret Taylor adalah:
Dengan menggunakan deret Taylor, fungsi yang rumit dapat disederhanakan sehingga lebih mudah dihitung. Konsep ini sangat berguna dalam perhitungan numerik dan simulasi komputer.
Selain itu, dalam kalkulus lanjut juga terdapat analisis vektor yang digunakan untuk mempelajari medan gaya. Salah satu konsep penting dalam analisis vektor adalah gradien, yang menunjukkan arah perubahan tercepat dari suatu fungsi. Gradien dapat dituliskan sebagai:
![]()
Gradien banyak digunakan dalam fisika dan teknik, misalnya dalam analisis medan listrik, aliran fluida, dan distribusi panas.
Secara keseluruhan, kalkulus lanjut memiliki peran yang sangat penting dalam berbagai bidang ilmu. Dengan memahami konsep-konsep seperti fungsi multivariabel, integral lipat, deret Taylor, dan analisis vektor, seseorang dapat menyelesaikan berbagai permasalahan kompleks secara lebih akurat. Oleh karena itu, kalkulus lanjut tidak hanya penting untuk pembelajaran di kelas, tetapi juga sangat berguna dalam dunia kerja, khususnya di bidang teknik dan sains.
Editor: Hadijah Aulia Putri (2411075)


